0. 项目结构和一些不得不说的话
项目地址:https://github.com/CN-GuoZiyang/MYDB
前言(一些废话)
或许是造轮子上瘾了,也有可能只是觉得需要补一补数据库的基本原理,大概花了大半个月,利用下班到半夜这段时间,我做完了这个项目。
和数据库也算有点渊源的,在学校开设数据库系统这门课的时候,我恰巧在深圳实习。于是乎,上网课成了我实习期间名正言顺的摸鱼理由,除了听课,其他啥都干。同样,操作系统也是在那个时候教授的,因为我对 OS 还是有点兴趣的,所以学得没有 DB 那么烂。
很快副作用就来了,字节二面的时候,面试官问我对数据库了解怎么样,本着坦诚清晰的原则,我说“一点也不了解”,于是又问我 redis 呢,我也只好说“也不了解”。好在面试官倒也没计较,还让我过了。就是不知道这俩“不知道”有没有拖烂我的面评……
工作之后,组里的内容和数据库倒也没有什么关系,本以为就此远离了数据库和 CRUD,没想到变化来得如此的快,隔壁资管组急缺人,向部门申请调人力支援,于是我就被弄过去支援了。资管对于一致性要求颇高,自然不能像原来一样,啥数据都往 redis 塞,没塞进去也没关系了……
契机
某天在 Github 网上冲浪的时候,偶然就看到了 @qw4990 大佬的数据库项目:NYADB2。这是一个用 golang 实现的一个简单的数据库,分层设计及其优秀,代码也便于阅读。出于对 Java 的念念不忘,我就依据这个项目的基本架构,写一个 Java 版的 DB,实现过程中,有许多细节都参照了这个项目。
令人汗颜的是,这个项目是作者本科的兴趣项目,也许这就是大佬吧(逃
RESPECT
整体结构
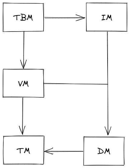
MYDB 分为后端和前端,前后端通过 socket 进行交互。前端(客户端)的职责很单一,读取用户输入,并发送到后端执行,输出返回结果,并等待下一次输入。MYDB 后端则需要解析 SQL,如果是合法的 SQL,就尝试执行并返回结果。不包括解析器,MYDB 的后端划分为五个模块,每个模块都又一定的职责,通过接口向其依赖的模块提供方法。五个模块如下:
- Transaction Manager(TM)
- Data Manager(DM)
- Version Manager(VM)
- Index Manager(IM)
- Table Manager(TBM)
五个模块的依赖关系如下:

MYDB 模块依赖
从这个依赖图中,拓扑排序一下就能看出实现顺序。本教程的实现顺序是 TM -> DM -> VM -> IM -> TBM
每个模块的职责如下:
- TM 通过维护 XID 文件来维护事务的状态,并提供接口供其他模块来查询某个事务的状态。
- DM 直接管理数据库 DB 文件和日志文件。DM 的主要职责有:1) 分页管理 DB 文件,并进行缓存;2) 管理日志文件,保证在发生错误时可以根据日志进行恢复;3) 抽象 DB 文件为 DataItem 供上层模块使用,并提供缓存。
- VM 基于两段锁协议实现了调度序列的可串行化,并实现了 MVCC 以消除读写阻塞。同时实现了两种隔离级别。
- IM 实现了基于 B+ 树的索引,BTW,目前 where 只支持已索引字段。
- TBM 实现了对字段和表的管理。同时,解析 SQL 语句,并根据语句操作表。
开发环境和运行示例
项目开发时使用的 WSL2 和 JDK11,如果要在 Windows 上执行,请替换启动参数中的路径为 Windows,JDK 版本要保证在 11 或以上,不兼容 JDK 8(或者可以自行寻找不兼容的方法,替换为兼容即可,应该只有个别方法不兼容)。
目前已经兼容 JDK 8
几乎每个模块和子模块都在 test 文件夹中有对应的单测,同学们一定也要多写写单测,不然到后面一跑起来都不知道 bug 从哪来的。
不写单测一时爽,出了 bug 火葬场(
注意首先需要在 pom.xml 中调整编译版本,如果导入 IDE,请更改项目的编译版本以适应你的 JDK
首先执行以下命令编译源码:
mvn compile接着执行以下命令以 /tmp/mydb 作为路径创建数据库:
mvn exec:java -Dexec.mainClass="top.guoziyang.mydb.backend.Launcher" -Dexec.args="-create /tmp/mydb"随后通过以下命令以默认参数启动数据库服务:
mvn exec:java -Dexec.mainClass="top.guoziyang.mydb.backend.Launcher" -Dexec.args="-open /tmp/mydb"这时数据库服务就已经启动在本机的 9999 端口。重新启动一个终端,执行以下命令启动客户端连接数据库:
mvn exec:java -Dexec.mainClass="top.guoziyang.mydb.client.Launcher"会启动一个交互式命令行,就可以在这里输入类 SQL 语法,回车会发送语句到服务,并输出执行的结果。
一个执行示例:

MYDB 运行示例

